暇つぶし

「健康寿命」って、独り歩きしてないか?老後資金を破綻させるリスクも?

最近のオヤジ雑誌を読んでいると、とにかく高齢者の健康テーマや年金関連の記事が多い。昔はもうちょっと艶っぽい記事も多かったと思うんですが、やはり高齢化が進んでメイン読者の関心が移ってきたんだなぁ、ということを感じます。さて、今日はそんな年寄関...
投資・運用

日経平均を支配するのは誰だ?

私は「投資家」では決してないので、個別株の動きはほぼ見ていません。ただ経済ニュースなどを見ていると、やはりAI関連、ハイテク株の値動きに左右されている印象があり、素人なりにモヤモヤしています。今回は日経平均の動きを支配する個別株、セクター等...
政治・社会

ベネズエラ攻撃:アメリカの軍事介入はこれまで効果があったか?

年明け早々、またトランプがやってくれました。いきなりのベネズエラ攻撃。さすがに地上攻撃にまで突入するとは想定していませんでした。アメリカの他国への軍事介入、あるいは非公式の政権転覆工作など、これまでも頻繁にあったのですが、その介入が果たして...
投資・運用

2025年NISAの振り返り~完全にコモディティの年、暗号資産はざまぁみろ

新NISAの2年目が終わりました。2024年の大量流入の反動、さらにトランプ政権の誕生で、年初にはどうなるか懸念もありましたが、結果的にかなりの好成績だった感じ。正月気分も抜けない状態なので、短く、ざっくりと振り返ってみることにします。世界...
暇つぶし

新語・流行語大賞。毎年恒例の「それ違うだろ」を確認

さすがに年の瀬も押し詰まってきて、もう真面目にモノを考えたくなくなってきました。ということで、今年の「新語・流行語大賞」を何かデータを使って語れないか、軽く作業をしてみました。まぁ、大掃除の合間にでもご覧ください。今年もイチャモンから逃れら...
政治・社会

「多数決投票」対「優先順位付き投票」~選挙制度改革に、ちょっと変わった視点も?

自維政策合意の議員定数削減。とりあえず今年は見送られましたが、来年以降、これがどう進展するのか、年寄りは心配で夜も眠れません(ってなことはないですが)。今の小選挙区中心の選挙制度改革に言及する向きもあり、そっちになると、ちょっと面白いかもし...
世界経済

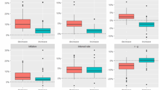
サナエノミクス財政の根っこの考え方(2):世界各国の財政の歴史

前回は日本の財政について、過去の歴史を眺めてみました。今回は世界全体で見て、財政安定化、逆の不安定化のエピソードを抽出して、少し分析をしてみようと思います。特に高市財政が目指す「財政支出による経済成長を通じた債務安定化」、「金利<成長率のた...
世界経済

サナエノミクス財政の根っこの考え方(1):r<gなら財政破綻はない?

異例の高支持率で出発した高市政権。「台湾有事」でちょっと混乱していますが、経済運営の方針も少し見えてきたところ。総合経済対策パッケージには辛めの評価も目につきますが、かつての主張に比べると、かなり中道になってきた感じはします。今回は「サナエ...
政治・社会

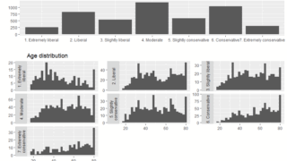
保守とリベラルの分かれ道

2回ほど、テニス・データでの暇つぶしに寄り道をしてしまいましたが、もう一度だけ、アメリカの保守・リベラルの問題に戻ろうと思います。これまでアメリカの世論調査を使って、保守/リベラルの志向を持つ人たちのアイデンティティや政策の方向性などを概観...
暇つぶし

男子テニスのランキングも再計算~団子状態の4位以下から誰が抜け出すか

女子に1週間遅れて、男子テニスも年間最終戦が終わりました。やはりシナー対アルカラスの決勝カードになり、シナーが2年連続で優勝。しかしランキングではアルカラスが1位を3年ぶりに奪還しました。女子と同じく、男子についても、Eloスコアで状況を見...